PerActionLab PerActionLab
  • Home
  • Software
  • Supplementary Material

Welcome to the Ditterich Lab at the Center for Neuroscience, University of California, Davis. We are a neuroscience laboratory working on discovering the neural mechanisms that are responsible for linking perception and action. Our laboratory uses a variety of techniques, including analysis of behavior, electrophysiology, and computational modeling.

 

This site is still work in progress...

 

  • Change of mind

    A neural correlate of changes of mind (Bollimunta et al., 2012)

  • LIP dip

    LIP activity during random dot motion discrimination (Bollimunta & Ditterich, 2012)

  • Three choice task

    Multi-electrode recordings in a perceptual decision task with multiple alternatives (Bollimunta et al., 2012)

  • Error decision time

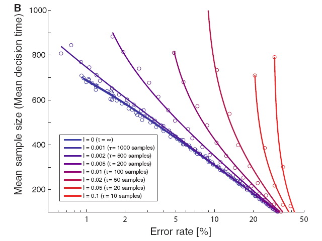
    Optimality of decisions between multiple alternatives (Ditterich, 2010)

  • Choice behavior

    Perceptual decisions between multiple alternatives (Niwa & Ditterich, 2008)

  • LFP pro anti

    Local field potentials in parietal cortex during perceptual decision making (Bollimunta & Ditterich, 2012)

  • MSPRT feedback model

    An MSPRT feedback model (Ditterich, 2010)

  • Posterior probability

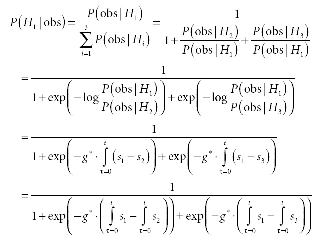
    Calculating the posterior probability of a choice option from sensory observations (Ditterich, 2010)

Previous Next Play Pause

Main Menu

  • Home
  • Software
  • Supplementary Material

Internal Links

  • Cluster Status
  • Email
  • JasperServer

Login

Remember Me
  • Forgot your username?
  • Forgot your password?
Bootstrap is a front-end framework of Twitter, Inc. Code licensed under MIT License. Font Awesome font licensed under SIL OFL 1.1.